What kind of molecules are atropisomers?
c) Superimposable mirror image with an internal mirror plane
b) Non-superimposable mirror images with restricted rotation around a chiral axis
a) Non-superimposable mirror images with a chiral atom bound to four different groups
A Lorem ipsum dolor sit amet forlerorem ipsum dolor sit forler.
A Lorem ipsum dolor sit amet forlerorem ipsum dolor sit forler.
A Lorem ipsum dolor sit amet forlerorem ipsum dolor sit forler.
01
01
CREDIT: Wikimedia Commons
02
A Lorem ipsum dolor sit amet forlerorem ipsum dolor sit forler.
A Lorem ipsum dolor sit amet forlerorem ipsum dolor sit forler.
A Lorem ipsum dolor sit amet forlerorem ipsum dolor sit forler.
02
c) 1944
b) 1933
a) 1922
Atropisomers were discovered experimentally by James Kenner and George Hallatt Christie at the University of Sheffield in
CREDIT: Wikimedia Commons
A Lorem ipsum dolor sit amet forlerorem ipsum dolor sit forler.
A Lorem ipsum dolor sit amet forlerorem ipsum dolor sit forler.
A Lorem ipsum dolor sit amet forlerorem ipsum dolor sit forler.
03
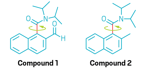
b) Compound 2
Which atropisomeric compound has the longer half-life (the time it takes to overcome the rotation barrier to reach a one-to-one racemic mixture)?
a) Compound 1
03

A Lorem ipsum dolor sit amet forlerorem ipsum dolor sit forler.
A Lorem ipsum dolor sit amet forlerorem ipsum dolor sit forler.
A Lorem ipsum dolor sit amet forlerorem ipsum dolor sit forler.
04
b) False
a) True
True or false: The X-ray contrast agent iomeprol is an atropisomer.
04
05
A Lorem ipsum dolor sit amet forlerorem ipsum dolor sit forler.
A Lorem ipsum dolor sit amet forlerorem ipsum dolor sit forler.
A Lorem ipsum dolor sit amet forlerorem ipsum dolor sit forler.
b) False
a) True
True or false: The antibiotic vancomycin is an atropisomer.
05
Get more chemistry.
YOUR RESULTS
Created for
Skip and see results
Want the latest news, giveaways, and more, but aren't an ACS member? Fill out your information below to subscribe to C&EN's free weekly newsletter, sent every Wednesday with the latest happenings across the chemical sciences.
ACS Privacy Policy
Created for
START OVER
Read the story at cen.acs.org
0 correct out of 5
0%

Created for
START OVER
Read the story at cen.acs.org
1 correct out of 5
20%

Created for
START OVER
Read the story at cen.acs.org
2 correct out of 5
40%

Created for
START OVER
Read the story at cen.acs.org
3 correct out of 5
60%
Nice try!

Created for
START OVER
Read the story at cen.acs.org
4 correct out of 5
80%
Congratulations!

100%
Congratulations!
START OVER
Created for
5 correct out of 5
Read the story at cen.acs.org
